Question 6935: what is the distance between the points (-2sq. root 7, 10) and (4sq. root 7 , 8)? Answer by Mike(39) (Show Source):
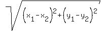
You can put this solution on YOUR website! The formula you need to use is the following:
Plugging in your given values this gives:
16 which is your answer.
Hope that helps.
Regards,
-Mike