SOLUTION: x^2-2x-4y^2+16y=11

Algebra ->  Quadratic-relations-and-conic-sections -> SOLUTION: x^2-2x-4y^2+16y=11      Log On


   



Question 671164: x^2-2x-4y^2+16y=11
Answer by ewatrrr(24785) About Me  (Show Source):
You can put this solution on YOUR website!
 
Hi,
conic Forms:
Ellipse is %28x-h%29%5E2%2Fa%5E2+%2B+%28y-k%29%5E2%2Fb%5E2+=+1+
Hyperbola opening Up and down is: %28y-k%29%5E2%2Fb%5E2+-+%28x-h%29%5E2%2Fa%5E2+=+1
Hyperbola opening right and left is: %28x-h%29%5E2%2Fa%5E2+-+%28y-k%29%5E2%2Fb%5E2+=+1
Parabola opening up(a>0) or down(a<0), y=a%28x-h%29%5E2+%2Bk
Parabola opening right(a>0) or left(a<0), x=a%28y-k%29%5E2+%2Bh
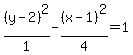
x^2-2x-4y^2+16y=11
(x-1)^2 - 4(y-2)^2 = 11 + 1 -16
(x-1)^2 - 4(y-2)^2 = -4
4(y-2)^2 -(x-1)^2 =4
+%28y-2%29%5E2%2F1+-%28x-1%29%5E2%2F4+=1 Hyperbola opening Up and down