SOLUTION: find the equation of the ellipse with center (-2,3) major axis vertical; length of major axis is 4; and length of minor axis is 1.

Algebra ->  Quadratic-relations-and-conic-sections -> SOLUTION: find the equation of the ellipse with center (-2,3) major axis vertical; length of major axis is 4; and length of minor axis is 1.      Log On


   



Question 668323: find the equation of the ellipse with center (-2,3) major axis vertical; length of major axis is 4; and length of minor axis is 1.
Answer by lwsshak3(11628) About Me  (Show Source):
You can put this solution on YOUR website!
find the equation of the ellipse with center (-2,3) major axis vertical; length of major axis is 4; and length of minor axis is 1
**
Standard form of equation for an ellipse with vertical major axis: %28x-h%29%5E2%2Fb%5E2%2B%28y-k%29%5E2%2Fa%5E2=1, a>b, (h,k)=(x,y) coordinates of center.
For given problem:
given center: (-2,3)
given length of vertical major axis=4=2a
a=2
a^2=4
given length of minor axis=1=2b
b=1/2
b^2=1/4
Equation of given ellipse:
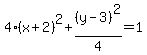
%28x%2B2%29%5E2%2F%281%2F4%29%2B%28y-3%29%5E2%2F4=1
4%28x%2B2%29%5E2%2B%28y-3%29%5E2%2F4=1