Hi,
Need to know Your Standard forms: See below
ellipse: 96(x+6)^2 +24(y-4)^2 = 96 ⇒ 
hyperbola: 9(x+1)^2 - 16(y+12)^2 =144 ⇒ 
parabola: x^2 + 12x + 36 = -8y + 8 ⇒ 
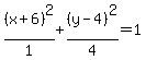
Standard Form of an Equation of an Ellipse is
where Pt(h,k) is the center. (a variable positioned to correspond with major axis)
a and b are the respective vertices distances from center
Standard Form of an Equation of an Hyperbola opening right and left is:
with C(h,k) and vertices 'a' units right and left of center,
the vertex form of a Parabola opening up(a>0) or down(a<0),
where(h,k) is the vertex and x = h is the Line of Symmetry
The standard form is
, where the focus is (h,k + p)