SOLUTION: Write the equation in standard form. State whether the graph of the equation is a parabola, circle, ellipse, or hyperbola . x2 + 4y2 + 2x - 24y + 33 = 0

Algebra ->  Quadratic-relations-and-conic-sections -> SOLUTION: Write the equation in standard form. State whether the graph of the equation is a parabola, circle, ellipse, or hyperbola . x2 + 4y2 + 2x - 24y + 33 = 0      Log On


   



Question 635404: Write the equation in standard form. State whether the graph of the equation is a parabola, circle, ellipse, or hyperbola .
x2 + 4y2 + 2x - 24y + 33 = 0

Found 2 solutions by ewatrrr, AnlytcPhil:
Answer by ewatrrr(24785) About Me  (Show Source):
You can put this solution on YOUR website!
 
Hi,
x2 + 4y2 + 2x - 24y + 33 = 0
(x+1)^2 + 4(y-3)^2 - 1 - 36 + 33 = 0
(x+1)^2 + 4(y-3)^2 = 4
%28x%2B1%29%5E2%2F2%5E2+%2B+%28y-3%29%5E2%2F1%5E2+=+1
Ellipse: C(-1,3)
Standard Form of an Equation of an Ellipse is %28x-h%29%5E2%2Fa%5E2+%2B+%28y-k%29%5E2%2Fb%5E2+=+1+
where Pt(h,k) is the center. (a variable positioned to correspond with major axis)
a and b are the respective vertices distances from center
and ±sqrt%28a%5E2-b%5E2%29are the foci distances from center: a > b

Answer by AnlytcPhil(1806) About Me  (Show Source):
You can put this solution on YOUR website!
x² + 4y² + 2x - 24y + 33 = 0

Rearrange equation like this

(x² + 2x) + (4y² - 24y) = -33

(x² + 2x) + 4(y² - 6y) = -33

Complete the square:
Multiply the coefficient of each 1st degree term
 by one-half theb square the result. Then add this
inside each set of parentheses, and add the 
corresponding amount to the right side:

(x² + 2x + 1) + 4(y² - 6y + 9) = -33 + 1 + 36

Note that since 9 was added in the second set of parenthese,
that ammounted to adding 36 to both side because of 4 coefficient
of the second set of parentheses.

Factor the quadratics inside the parentheses as perfect squarse,
and combine terms on the right side:

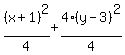
(x+1)² + 4(y-3)² = 4

Get 1 on the right side by dividing every term though by 4

%28x%2B1%29%5E2%2F4+%2B+4%28y-3%29%5E2%2F4 = 4%2F4

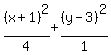
%28x%2B1%29%5E2%2F4+%2B+%28y-3%29%5E2%2F1 = 1

%28x%2B1%29%5E2%2F2%5E2+%2B+%28y-3%29%5E2%2F1%5E2 = 1

Edwin