SOLUTION: Change x2 − 4y2 + 10x − 48y − 135 = 0 into standard form. (hyperbola)

Algebra ->  Quadratic-relations-and-conic-sections -> SOLUTION: Change x2 − 4y2 + 10x − 48y − 135 = 0 into standard form. (hyperbola)      Log On


   



Question 632781: Change x2 − 4y2 + 10x − 48y − 135 = 0 into standard form. (hyperbola)
Answer by lwsshak3(11628) About Me  (Show Source):
You can put this solution on YOUR website!
Change x2 − 4y2 + 10x − 48y − 135 = 0 into standard form. (hyperbola)
**
x^2+10x−4y^2−48y−135=0
complete the squares
(x^2+10x+25)−4(y^2+12y+36)=135+25-144
(x+5)^2-4(y+6)^2=16
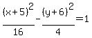
%28x%2B5%29%5E2%2F16-%28y%2B6%29%5E2%2F4=1 (equation of hyperbola in standard form)
This is an equation of a hyperbola with horizontal transverse axis and center at (-5,-6)