You can put this solution on YOUR website! which is the asymptotes of y^2/121-x^2/36=1
This is an equation of a hyperbola with vertical transverse axis.
Its standard form: , (h,k)=(x,y) coordinates of center
Given equation:
center: (0,0)
a^2=121
a=√121=11
b^2=36
b=√36=6
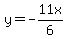
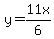
slopes of asymptotes for hyperbolas with vertical transverse axis=±a/b=±11/6
Asymptotes are equations of straight lines that go thru the center.
Their standard form: y=mx+b, m=slope, b=y-intercept
Since center is at (0,0), y-intercept for both asymptotes=0
Equations for asymptotes:
and