SOLUTION: Write the equation of the ellipse with the given characteristics and center at (0,0). Vertex: (4,0) Co-Vertex: (0,2)

Algebra ->  Quadratic-relations-and-conic-sections -> SOLUTION: Write the equation of the ellipse with the given characteristics and center at (0,0). Vertex: (4,0) Co-Vertex: (0,2)      Log On


   



Question 624452: Write the equation of the ellipse with the given characteristics and center at (0,0).
Vertex: (4,0)
Co-Vertex: (0,2)

Answer by ewatrrr(24785) About Me  (Show Source):
You can put this solution on YOUR website!
 
Hi
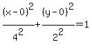
Note: Standard Form of an Equation of an Ellipse is %28x-h%29%5E2%2Fa%5E2+%2B+%28y-k%29%5E2%2Fb%5E2+=+1+
where Pt(h,k) is the center. (a variable positioned to correspond with major axis)
a and b are the respective vertices distances from center
Write the equation of the ellipse with the given characteristics and center at (0,0).
Vertex: (4,0)
Co-Vertex: (0,2)
%28x-0%29%5E2%2F4%5E2+%2B+%28y-0%29%5E2%2F2%5E2+=+1+
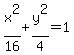
x%5E2%2F16+%2B+y%5E2%2F4+=+1+