SOLUTION: I need help with this circle problem it annoying me at this point can someone explain what i need to do in steps. Also need to identify H,K,R Find the equation of the circl

Algebra ->  Quadratic-relations-and-conic-sections -> SOLUTION: I need help with this circle problem it annoying me at this point can someone explain what i need to do in steps. Also need to identify H,K,R Find the equation of the circl      Log On


   



Question 623929: I need help with this circle problem it annoying me at this point can someone explain what i need to do in steps. Also need to identify H,K,R


Find the equation of the circle whose diameter has endpoints (-9, -2) and (1, 1). Write it in the form
(x-h)^2 + (y-k)^2 = r^2

Found 3 solutions by ewatrrr, josmiceli, math-vortex:
Answer by ewatrrr(24785) About Me  (Show Source):
You can put this solution on YOUR website!
 
Hi,
Find the equation of the circle whose diameter has endpoints (-9, -2) and (1, 1).
With conics: Highly recommend SKETCHING All info given and continue sketching with info found.
I. Plot given Points
II. Find the Midpoint Pt(x,y): ( %28x%5B1%5D+%2B+x%5B2%5D%29%2F2, %28y%5B1%5D+%2B+y%5B2%5D%29%2F2++%29)which will be the Center of this circle
(-9, -2) and
(1, 1) Midpoint = ((-9+1)/2, (-2+1)/2)) = (-4,-1/2) III. Plot Midpoint
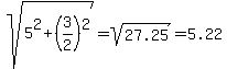
(-4,-1/2) D = r = sqrt%285%5E2+%2B+%283%2F2%29%5E2%29=+sqrt%2827.25%29+=++5.22
x+4)^2 + (y + .5)^2 = 27.25


Answer by josmiceli(19441) About Me  (Show Source):
You can put this solution on YOUR website!
If you locate the center of the line
between (-9,-2) and ( 1,1 ), that will be the
center of the circle. The standard form for
the circle is +%28x-h%29%5E2+%2B+%28y-k%29%5E2+=+r%5E2+ and
the center is at ( h,k )
-------------------
The x-coordinate of the center is
+%28+1+-+9+%29+%2F+2+=+-4+
The y-coordinate of the center is
+%28+1+-2+%29+%2F+2+=+-+1%2F2+
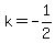
+h+=+-4+
+k+=+-1%2F2+
The radius is 1/2 of the diameter
+d+=+sqrt%28+%28+1+-%28-9%29+%29%5E2+%2B+%28+1+-%28-2%29+%29%5E2+%29+
+d+=+sqrt%28+10%5E2+%2B+3%5E2+%29+
+d+=+sqrt%28+109+%29+
+r+=++sqrt%28109%29%2F+2+
-------------------
+%28x-h%29%5E2+%2B+%28y-k%29%5E2+=+r%5E2+
+%28x-%28-4%29%29%5E2+%2B+%28y-%28-1%2F2%29%29%5E2+=+%28+sqrt%28109%29%2F2%29%5E2+
+%28+x+%2B+4+%29%5E2+%2B+%28+y+%2B+1%2F2+%29%5E2+=+109%2F4+
--------------------
check:
Does it pass through ( -9,-2 ) ?
+%28+-9+%2B+4+%29%5E2+%2B+%28+-2+%2B+1%2F2+%29%5E2+=+109%2F4+
+%28+-5+%29%5E2+%2B+%28+-3%2F2%29%5E2+=+109%2F4+
+25+%2B+9%2F4+=+109%2F4+
+100%2F4+%2B+9%2F4+=+109%2F4+
+109%2F4+=+109%2F4+
OK- you can check (1,1)

Answer by math-vortex(648) About Me  (Show Source):
You can put this solution on YOUR website!
Hi there,

The problem:
Find the equation of the circle whose diameter has endpoints (-9, -2) and (1, 1). Write it in the form
(x-h)^2 + (y-k)^2 = r^2. Identify the center of the circle (h.k) and its radius r.

A Solution:
This problem has a lots parts. I can see why you might be feeling frustrated. We'll take this step 
by step.

We have two points on the circle that are endpoints of one of its diameters. A diameter always 
passes through the center of the circle. In fact, the center is the midpoint of the diameter.

We can use the midpoint formula to find the center of the circle. The midpoint formula is
M(x,y) = ((x[1]+x[2])/2 , (y[1]+y[2])/2)

The center C of this circle is located at the point (h,k) midway between (x[1],y[1]=(1,1) and 
(x[2],y[2])=(-9,-2). Using the midpoint formula, we have

C(h,k) = ((-9+1)/2 , (-2+1)/2)

Simplifying, we get,
C(h,k) = (-4,-1/2)

The center of the circle is at the point (-4,-1/2). Using the vertex form for the equation for a circle,
substitute these values for h and k.
%28x-h%29%5E2+%2B+%28y-k%29%5E2+=+r%5E2
%28x-%28-4%29%29%5E2+%2B+%28y-%28-1%2F2%29%29%5E2+=+r%5E2

Simplify.
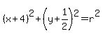
%28x%2B4%29%5E2+%2B+%28y%2B1%2F2%29%5E2+=+r%5E2

We know that those endpoints to the diameter are actually points on the circle, so we can substitute
one of them into the equation for x and y. Then we'll be able to solve for r^2. Either point will work;
let's use (1,1).
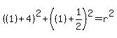
%28%281%29%2B4%29%5E2+%2B+%28%281%29%2B1%2F2%29%5E2+=+r%5E2

Simplify and solve for r^2.
%285%29%5E2+%2B+%283%2F2%29%5E2+=+r%5E2
25%2B9%2F4=r%5E2
109%2F4=r%5E2

We have (h,k) and r^2, so we can write our whole equation.
%28x%2B4%29%5E2%2B%28y%2B1%2F2%29%5E2=109%2F4

This is the vertex form of the equation, but the radius is r not r^2. So we take the square root of 
109/4 to get the radius.
sqrt%28109%2F4%29=%28sqrt%28109%29%29%2F2=%281%2F2%29%2A%28sqrt%28109%29%29

So, the center of your circle is (h,k)=(-4, -1/2) and the radius of the circle is r = (1/2)*sqrt(109)

Please email me if you have questions about any of this. I'd appreciate the feedback and it will help 
me become a better "explainer."

Ms.Figgy
mth.in.the.vortex@gmail.com