|
Question 612903: Please help me find the standard form of the equation : . By completing the square. And state the type of conic.
Please show all steps so I can understand how to get to the answer.
Answer by jsmallt9(3758) (Show Source):
You can put this solution on YOUR website! 
Because the squared terms have opposite signs, this equation is the equation of a hyperbola. The general standard form for a hyperbola is:

The numerators are the squares of binomials and to get these we "complete the square" for both the x terms and the y terms. The procedure is:- "Move" the constant term to one side of the equation (with all the variable terms on the other side).
- Rearrange the order of the terms on the variable side so that the x terms are together and the y terms are together.
- For each variable, factor out the coefficient of the squared term (if it is not a 1) from both terms. NOTE: Pay attention to "-" signs in front of the squared terms!
- For each variable, find half of the first power term.
- For each variable, find the square of the half you found in the previous step.
- Add the squares found in the previous step to both sides of the equation. NOTE: This can be much trickier than it may sound (as we will find out shortly).
- And last, rewrite as squares of binomials. The general form is:
"(x + the half from step 4) squared" and "(y + the half from step 4) squared" Let's see this in action:
1. Move the constant term.
Adding 7 to each side...

2. Rearrange the terms...
Your x terms and y terms are already together.
3. Factor out coefficients of the squared terms.
Your has a coefficient of 1 so we can skip this. Your term has a coefficient of -4:

Note how factoring out the -4 changes the sign of the +8y!
4. The 1st power term for x is -2x, The coefficient is -2 and half of this is -1. The 1st power term of y is 2y. The coefficient is 2 and half of this is 1.
5. Find the squares of the halves.
Both -1 squared and 1 squared is 1.
6. Add the squares to each side.
This is the hardest part to get right. This is how the left side should look;

Note where the squares went, especially the square for the y terms. It is inside the parentheses! The 1 we added to the x terms is not in parentheses and so it is just a 1. But the 1 for the y terms is inside the parentheses. Because it is inside the parentheses and because there is a -4 in front of the parentheses, this "1" is really a -4! So when we add the same thing to the right side that we added to the left side we need to add a 1 and a -4!

Simplifying the right side we get:

7. Rewrite as squares of binomials, using the "halves" from step 4:

After all that we have completed the squares. For the standard form we need:- A 1 on the right side
- No coefficients in front of the completed squares
- Perfect square denominators under the completed squares.
- Rewrite the completed squares as subtractions.
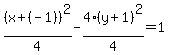
To get the 1 on the right, divide both sides by the 4 that is there:

The 4's cancel in the "y fraction" (which is nice because we didn't want a coefficient anyway):

The first denominator is obviously a perfect square. But there is no denominator at all for the y term. But its easy to get one:

and a 1 is also a prefect square.

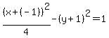
And last of all, rewrite the completed squares as subtractions:

From this we can see that the center is (1, -1), the "a" is 2 and the "b" is 1.
|
|
|
| |