SOLUTION: 3x^2+y^2+18x-2y+4=0 Write into standard form

Algebra ->  Quadratic-relations-and-conic-sections -> SOLUTION: 3x^2+y^2+18x-2y+4=0 Write into standard form      Log On


   



Question 555597: 3x^2+y^2+18x-2y+4=0
Write into standard form

Answer by Tatiana_Stebko(1539) About Me  (Show Source):
You can put this solution on YOUR website!
3x%5E2%2By%5E2%2B18x-2y%2B4=0
%283x%5E2%2B18x%29%2B%28y%5E2-2y%29%2B4=0
3%28x%5E2%2B6x%29%2B%28y%5E2-2y%29%2B4=0
3%28%28x%5E2%2B2%2Ax%2A3%2B3%5E2%29-3%5E2%29%2B%28y%5E2-2%2Ay%2A1%2B1%5E2%29-1%2B4=0
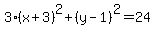
3%28x%2B3%29%5E2-27%2B%28y-1%29%5E2-1%2B4=0
3%28x%2B3%29%5E2%2B%28y-1%29%5E2=24 divide by 24
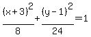
%28x%2B3%29%5E2%2F8%2B%28y-1%29%5E2%2F24=1
The equation of ellipse