SOLUTION: Hi, I have been staring at this problem for about an hour . could you please help me ? It's (x+2)^2/9 + (y+2)^2/4 = 1 I am suppose to sketch the ellipse which I will be able

Algebra ->  Quadratic-relations-and-conic-sections -> SOLUTION: Hi, I have been staring at this problem for about an hour . could you please help me ? It's (x+2)^2/9 + (y+2)^2/4 = 1 I am suppose to sketch the ellipse which I will be able      Log On


   



Question 544552: Hi, I have been staring at this problem for about an hour . could you please help me ?
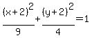
It's (x+2)^2/9 + (y+2)^2/4 = 1
I am suppose to sketch the ellipse which I will be able to do on my own, but I just don't know how to find the numbers..
If you could help me, I would appreciate it so much !
Thaaaaank you :)

Answer by KMST(5328) About Me  (Show Source):
You can put this solution on YOUR website!
%28x%2B2%29%5E2%2F9+%2B+%28y%2B2%29%5E2%2F4+=+1+
Think of it this way:
x%5E2%2By%5E2=1 represents a circle centered at (0,0) with radius 1.
(You can see that the formula says that the distance to the center is 1).
%28x%2B2%29%5E2+%2B+%28y%2B2%29%5E2+=+1+ would represent a circle centered at (-2,-2) with radius 1.
Stretching the drawing in the x and y directions to the same extent you would get a bigger circle with the same center:
%28x%2B2%29%5E2%2F9+%2B+%28y%2B2%29%5E2%2F9+=+1+ <--> %28x%2B2%29%5E2+%2B+%28y%2B2%29%5E2+=+9+ <--> %28x%2B2%29%5E2+%2B+%28y%2B2%29%5E2+=+3%5E2+ would represent a circle centered at (-2,-2) with radius 3.
%28x%2B2%29%5E2%2F4+%2B+%28y%2B2%29%5E2%2F4+=+1+ <--> %28x%2B2%29%5E2+%2B+%28y%2B2%29%5E2+=+4+ <--> %28x%2B2%29%5E2+%2B+%28y%2B2%29%5E2+=+2%5E2+ would represent a circle centered at (-2,-2) with radius 2.
Your ellipse is a stretched circle, symmetrical about axes x=-2 and y=-2. It's only that the guy stretching in the x direction was pulling harder.
x=-2 (substitute and see) at y=2 and y=-2.
It crosses axis y=-2 at x=+3 and x=+-+3.