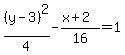
SOLUTION: Given the equation:4y 2 − x 2 − 24y − 4x + 16 = 0, write this hyperbola in standard form.
Algebra
->
Quadratic-relations-and-conic-sections
-> SOLUTION: Given the equation:4y 2 − x 2 − 24y − 4x + 16 = 0, write this hyperbola in standard form.
Log On
Algebra: Conic sections - ellipse, parabola, hyperbola
Section
Solvers
Solvers
Lessons
Lessons
Answers archive
Answers
Click here to see ALL problems on Quadratic-relations-and-conic-sections
Question 517021
:
Given the equation:4y 2 − x 2 − 24y − 4x + 16 = 0, write this hyperbola in standard form.
Answer by
Gogonati(855)
(
Show Source
):
You can
put this solution on YOUR website!
=
=>
=>