SOLUTION: What conic is described by the equation 4x^2 + 4y^2 - x + y = 0. Please show steps. Thank you.

Algebra ->  Quadratic-relations-and-conic-sections -> SOLUTION: What conic is described by the equation 4x^2 + 4y^2 - x + y = 0. Please show steps. Thank you.      Log On


   



Question 457430: What conic is described by the equation 4x^2 + 4y^2 - x + y = 0. Please show steps. Thank you.
Answer by Gogonati(855) About Me  (Show Source):
You can put this solution on YOUR website!
To complete the squares we subtract 2/16=1/8 on the left side of equation.
=%28%282x%29%5E2-x%2B1%2F16%29%2B%28%282y%29%5E2%2By%2B1%2F16%29=1%2F8=>%282x-1%2F4%29%5E2%2B%282y%2B1%2F4%29%5E2=1%2F8
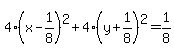
Factoring the left side we get:4%28x-1%2F8%29%5E2%2B4%28y%2B1%2F8%29%5E2=1%2F8, divide both sides
by 4 we get:%28x-1%2F8%29%5E2%2B%28y%2B1%2F8%29%5E2=1%2F32 The last equation represent a circle
centered at (1/8, -1/8) and radius r=sqrt%282%29%2F8.