Question 455942: How do I find the center, vertices, co-vertices, and foci of this ellipse x squared+4y squared-2x+16y+13=0? I tried subtracting 13 to both sides then factoring everything else but it doesn't look right. Can someone help me?
Answer by MathLover1(20850) (Show Source):
You can put this solution on YOUR website!
Rational Exponents
...group
.....write as
...both sides divide by
.........or
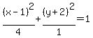
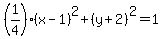
....compare to:
...if the major axis runs horizontally
you see that:



The center of the ellipse is (h,k) = (1,-2).
The major vertices are (h-a,k) and (h+a,k) or (-1,-2) and (3,-2)
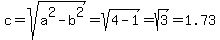
The foci are (h-c,k) and (h+c,k) or
(1-1.73,-2) and (1+1.73,-2) which is (-0.73,-2) and (2.73,-2).
|
|
|