|
Question 449330: how do you put 5x^2-y^2-30x-12y+9=0 into standard graphing form and graph it?
Answer by Math_Teacher_37(4) (Show Source):
You can put this solution on YOUR website!
Begin by moving all the "x" and "y" terms together, like this:
Now move the "9" to the other side and factor by grouping:
+ = -9
For , factor out a "5":
And for , factor out a "-1":
(to make the number in front of the term a positive number):
-1
Next, complete the square for . Remember that you need to take 1/2 of the middle term (1/2*-6 = -3) and square that answer (-3*-3 = 9). Then add this number to the expression to complete the square:
Note that if you distribute the above expression out, you will get the following:
(This means you added 45 to the original expression, something you will need to do to the other side as well.)
Do the same thing for :
1/2 * 12 = 6
Square 6: 6 * 6 = 36
So, complete the square and get the following:
-1
Distribute and get:
Of course, you will need to add -36 to the other side as well.
In summary, we have added 45 and -36 to both sides of the original equation (and need to add these numbers to the right side as well):
+
Simplify:
+
Factor a "5" out of :
=
Factor a "-1" out of :
=
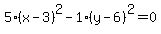
SO:
Since the right side of the equation equals 0, this conic section is not a hyperbola and cannot be graphed.
|
|
|
| |