SOLUTION: what is the center of this ellipse? x2+4y2+12x-32y+96=0

Algebra ->  Quadratic-relations-and-conic-sections -> SOLUTION: what is the center of this ellipse? x2+4y2+12x-32y+96=0      Log On


   



Question 448544: what is the center of this ellipse? x2+4y2+12x-32y+96=0
Answer by ewatrrr(24785) About Me  (Show Source):
You can put this solution on YOUR website!
 
Hi
Standard Form of an Equation of an Ellipse is %28x-h%29%5E2%2Fa%5E2+%2B+%28y-k%29%5E2%2Fb%5E2+=+1+where Pt(h,k) is the center
and a and b are the respective vertices distances from center.
x^2+4y^2+12x-32y+96=0
(x+6)^2 - 36 + 4(y-4)^2 - 4*16 + 96 = 0
(x+6)^2 + 4(y-4)^2 = 4
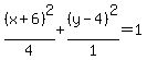
+%28x%2B6%29%5E2%2F4+%2B+%28y-4%29%5E2%2F1++=+1+ Center (-6,4)