SOLUTION: Tell which type of conic section is represented by the given general from equations. Then, use the process of completing the square to write each of the conic section in its respec

Algebra ->  Quadratic-relations-and-conic-sections -> SOLUTION: Tell which type of conic section is represented by the given general from equations. Then, use the process of completing the square to write each of the conic section in its respec      Log On


   



Question 448176: Tell which type of conic section is represented by the given general from equations. Then, use the process of completing the square to write each of the conic section in its respective working form.
9x^2+25y^2+18x-200y+184=0

Answer by ewatrrr(24785) About Me  (Show Source):
You can put this solution on YOUR website!
 
Hi
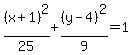
Standard Form of an Equation of an Ellipse is %28x-h%29%5E2%2Fa%5E2+%2B+%28y-k%29%5E2%2Fb%5E2+=+1+
where Pt(h,k) is the center and a and b are the respective vertices distances from center.
9x^2+25y^2+18x-200y+184=0
9(x+1)^2 - 9*1 + 25(y-4)^2 -25*16 + 184 = 0
9(x+1)^2 + 25(y-4)^2 = 225
%28x%2B1%29%5E2%2F25+%2B+%28y-4%29%5E2%2F9+=+1