Hi
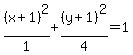
Standard Form of an Equation of an Ellipse is 
where Pt(h,k) is the center and a and b are the respective vertices distances from center.
4x^2 + 8x + y^2 + 2y + 1 = 0
4(x+1)^2 -4 + (y+1)^2 -1 +1 = 0
4(x+1)^2 + (y+1)^2 = 4
sqrt(4-1) = sqrt(3) = 1.732
Center (-1,-1) foci (-1, -2.732) and (-1,.732)
