SOLUTION: find the center of the ellipse: {{{36x^2+64y2-36x-96y-531=0}}}
Algebra
->
Quadratic-relations-and-conic-sections
-> SOLUTION: find the center of the ellipse: {{{36x^2+64y2-36x-96y-531=0}}}
Log On
Algebra: Conic sections - ellipse, parabola, hyperbola
Section
Solvers
Solvers
Lessons
Lessons
Answers archive
Answers
Click here to see ALL problems on Quadratic-relations-and-conic-sections
Question 440305
:
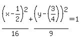
find the center of the ellipse:
Answer by
ewatrrr(24785)
(
Show Source
):
You can
put this solution on YOUR website!
Hi
36(x-1/2)^2 + 64(y-(3/4))^2 = 531 + 9 + 36
36(x-1/2)^2 + 64(y-(3/4))^2 = 576
C(.5,.75)