Hi, Note:
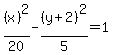
Standard Form of an Equation of an Hyperbola opening right and left is
where Pt(h,k) is a center with vertices 'a' units right and left of center.
5x^2-20y^2=100
C(0,0) with vertices V(0,-2
) and V(0,2
)
Domain: {x ≥ 2
), x ≤ -2
) }
Range:
Foci(c=
): F(-5,0) and F(5,0)
Asymptotes: y = .5x and y = -.5x
