SOLUTION: The ellipse graphed below has its center at (-3, 2), its horizontal axis is of length 2, and its vertical axis is of length 6. What is its equation?

Algebra ->  Quadratic-relations-and-conic-sections -> SOLUTION: The ellipse graphed below has its center at (-3, 2), its horizontal axis is of length 2, and its vertical axis is of length 6. What is its equation?       Log On


   



Question 429576: The ellipse graphed below has its center at (-3, 2), its horizontal axis is of length 2, and its vertical axis is of length 6. What is its equation?

Found 2 solutions by stanbon, ewatrrr:
Answer by stanbon(75887) About Me  (Show Source):
You can put this solution on YOUR website!
The ellipse graphed below has its center at (-3, 2), its horizontal axis is of length 2, and its vertical axis is of length 6. What is its equation?
---------
(x+3)^2/4 + (y-2)^2/36 = 1
============================
Cheers,
Stan H.
========

Answer by ewatrrr(24785) About Me  (Show Source):
You can put this solution on YOUR website!

Hi
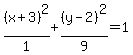
Standard Form of an Equation of an Ellipse is %28x-h%29%5E2%2Fa%5E2+%2B+%28y-k%29%5E2%2Fb%5E2+=+1+
where Pt(h,k) is the center and a and b are the respective vertices distances from center.
center at (-3, 2), its horizontal axis is of length 2,
and its vertical axis is of length 6
%28x%2B3%29%5E2%2F1++%2B+%28y-2%29%5E2%2F9+=+1