SOLUTION: Find the Conic section for the following equations...I don't really understand what else to do: x^2+4y^2-6x+8y+9=0 I have tried: X^2-6x+_9__+4y^2+8y+_?__=-9

Algebra ->  Quadratic-relations-and-conic-sections -> SOLUTION: Find the Conic section for the following equations...I don't really understand what else to do: x^2+4y^2-6x+8y+9=0 I have tried: X^2-6x+_9__+4y^2+8y+_?__=-9       Log On


   



Question 427407: Find the Conic section for the following equations...I don't really understand what else to do:
x^2+4y^2-6x+8y+9=0 I have tried: X^2-6x+_9__+4y^2+8y+_?__=-9
(x+3)^3+4(y+2)^2=-9
x^2+3y^2-4x+5y+8=0 I have tried: x^2-4x+_4__+3y^2+5y+__?_=-8
(x+2)^2+ 3(y+2)

Answer by ewatrrr(24785) About Me  (Show Source):
You can put this solution on YOUR website!

Hi
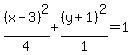
x^2+4y^2-6x+8y+9=0
(x-3)^2 -9 + 4[(y+1)^2 -1] + 9 = 0
(x-3)^2 -9 + 4(y+1)^2 -4 + 9 = 0
(x-3)^2 + 4(y+1)^2 = 4
%28x-3%29%5E2%2F4+%2B+%28y%2B1%29%5E2%2F1+=+1+ Ellipse