Question 42549: Write an equation for an ellipse if the endpoints of the major axis are (-8,1) and (8,1) and the endpoints of the minor axis are at (0,-1) and (0,3).
Thanks
Answer by psbhowmick(878) (Show Source):
You can put this solution on YOUR website! As the major axis passes through the points (-8,1) and (8,1) so clearly its equation is y = 1.
It is a straight line parallel to x-axis and situated 1 unit above it.
Similarly, x = 0 i.e. y-axis is the minor axis.
The centre is the point of intersection of major (y = 1) and minor (x = 0) axes and so its coordinates are (0,1).
Now, length of the major axis is 8 - (-8) = 16 units and that of the minor axis is (3 - (-1)) = 4 units.
When the major axis is parallel to x-axis, general equation of an ellipse with centre at (h,k) and major and minor axes of lengths '2a' and '2b' respectively is
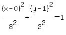
Here, h = 0, k = 1, 2a = 16, 2b = 4 i.e. a = 8, b = 2.
So the reqd. equation of the ellipse is

or 
or
|
|
|