SOLUTION: Choose the equation that best represents the ellipse with center (–5, –2), horizontal major axis of length 6, and minor axis of length 4. (a) (x+5)^2/25 + (y+2)^2/4=1 (b) (x+5

Algebra ->  Quadratic-relations-and-conic-sections -> SOLUTION: Choose the equation that best represents the ellipse with center (–5, –2), horizontal major axis of length 6, and minor axis of length 4. (a) (x+5)^2/25 + (y+2)^2/4=1 (b) (x+5      Log On


   



Question 421977: Choose the equation that best represents the ellipse with center (–5, –2), horizontal major axis of length 6, and minor axis of length 4.
(a) (x+5)^2/25 + (y+2)^2/4=1
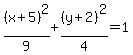
(b) (x+5)^2/9 + (y+2)^2/4=1
(c)(x-5)^2/9 + (y-2)^2/4=1
(d) x^2/9 + y^2/4=1

Answer by ewatrrr(24785) About Me  (Show Source):
You can put this solution on YOUR website!

Hi
Standard Form of an Equation of an Ellipse is %28x-h%29%5E2%2Fa%5E2+%2B+%28y-k%29%5E2%2Fb%5E2+=+1+
where Pt(h,k) is the center and a and b are the respective distances the vertices are from center.
ellipse with center (–5, –2)and
"horizontal major axis" of length 6, and minor axis of length 4
%28x%2B5%29%5E2%2F9+%2B+%28y%2B2%29%5E2%2F4=1