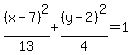
SOLUTION: Write the standard form of the equation of the conic section with the given charateristics. 3. Ellipse with foci at (4, 2) and (10, 2) and co-vertices at (7, 0) and (7, 4)

Algebra ->  Quadratic-relations-and-conic-sections -> SOLUTION: Write the standard form of the equation of the conic section with the given charateristics. 3. Ellipse with foci at (4, 2) and (10, 2) and co-vertices at (7, 0) and (7, 4)       Log On


   



Question 412548: Write the standard form of the equation of the conic section with the given charateristics.

3. Ellipse with foci at (4, 2) and (10, 2) and co-vertices at (7, 0) and (7, 4)

Answer by ewatrrr(24785) About Me  (Show Source):
You can put this solution on YOUR website!

Hi
Ellipse with foci at (4, 2) and (10, 2) and co-vertices at (7, 0) and (7, 4)
%28x-7%29%5E2%2F13+%2B+%28y-2%29%5E2%2F4+=+1