SOLUTION: this is from the shifted conics sections, you have to identify whether it is a parabola, ellipse or hyperbola, and solve and graph the problem: 2x^2 + y^2 = 2y + 1

Algebra ->  Quadratic-relations-and-conic-sections -> SOLUTION: this is from the shifted conics sections, you have to identify whether it is a parabola, ellipse or hyperbola, and solve and graph the problem: 2x^2 + y^2 = 2y + 1      Log On


   



Question 385429: this is from the shifted conics sections, you have to identify whether it is a parabola, ellipse or hyperbola, and solve and graph the problem: 2x^2 + y^2 = 2y + 1
Answer by Edwin McCravy(20060) About Me  (Show Source):
You can put this solution on YOUR website!
2x² + y² = 2y + 1

We place it in the form

Ax² + Bxy + Cy² + Dx + Ey + F = 0

2x² + 0xy + 1y² + 0x - 2y - 1 = 0

A = 2
B = 0
C = 1
D = 0
E = -2
F = -1

The rules are:

1. if the discriminant, B² − 4AC < 0, the equation represents an ellipse; 
2. if A = C and B = 0, the equation represents a circle; 
3. if B2 − 4AC = 0, the equation represents a parabola; 
4. if B2 − 4AC > 0, the equation represents a hyperbola; 
5. if we also have A + C = 0, the equation represents a rectangular hyperbola. 

The discriminant is B²-4AC = 0²-4(2)(1) = -8, so it represents an ellipse.

Since it has no xy term, we get it into one of these forms

%28x-h%29%5E2%2Fa%5E2+%2B+%28y-k%29%5E2%2Fb%5E2+=+1 or %28x-h%29%5E2%2Fb%5E2+%2B+%28y-k%29%5E2%2Fa%5E2+=+1

Either way we begin by getting the constant on the right side:

2x² + y² - 2y = 1

We complete the square on y by adding 1 to both sides:

2x² + y² - 2y + 1 = 1 + 1

We factor the last three terms on the left as a perfect square:

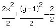
2x² + (y - 1)² = 2

We divide through by 2 to get 1 on the right side:

2x%5E2%2F2+%2B+%28y+-+1%29%5E2%2F2+=+2%2F2

x%5E2+%2B+%28y-1%29%5E2%2F2+=+1

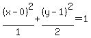
We write x as (x-0)

%28x-0%29%5E2+%2B+%28y-1%29%5E2+=+1

Write the first term over 1

%28x-0%29%5E2%2F1+%2B+%28y-1%29%5E2%2F2+=+1

That is the form 

%28x-h%29%5E2%2Fb%5E2+%2B+%28y-k%29%5E2%2Fa%5E2+=+1

because a is always greater than b in an ellipse.

It has center (h,k) = (0,1), semi-major axis = a = 1,
and semi-minor axis = b = sqrt%282%29

It has its major axis vertical because a² is under the term in y

We plot the center:



We draw the complete major axis a+=+sqrt%282%29, about 1.4 units up and down
from the center (in purple):



We draw the complete minor axis b+=+1 unit right and left
from the center (in green):
 



We sketch in the ellipse:




Edwin