SOLUTION: Write an equation for an ellipse if the endpoints of the major axis are at (-8,1) and (8,1) and the endpoints of the minor axis are at (0, -1) and (0, 3).
Algebra ->
Quadratic-relations-and-conic-sections
-> SOLUTION: Write an equation for an ellipse if the endpoints of the major axis are at (-8,1) and (8,1) and the endpoints of the minor axis are at (0, -1) and (0, 3).
Log On
Question 337118: Write an equation for an ellipse if the endpoints of the major axis are at (-8,1) and (8,1) and the endpoints of the minor axis are at (0, -1) and (0, 3). Answer by Fombitz(32388) (Show Source):
You can put this solution on YOUR website!
.
.
.
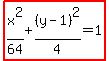
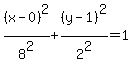
The center of the ellipse is (,).
The semimajor length is 8 units long.
The semiminor length is 2 units long.
.
.
.