|
Question 334900: Find the equation of the ellipse with x intercepts at (±6, 0) and y intercepts at (0,±4) and find the foci
Answer by jsmallt9(3758) (Show Source):
You can put this solution on YOUR website! The standard form of the equation of an ellipse is:

for horizontally oriented ellipses and

for vertically oriented ellipses. In both cases a > b.
Since the origin, (0, 0) is halfway between the two x intercepts and also halfway between the two y intercepts, then the origin is the center of the ellipse. This makes h = 0 and k = 0.
And since a is the distance from the center to the vertices on the major axis and since the distance from (0, 0) to (6, 0) and to (-6, 0) is 6, a = 6 and this ellipse is a horizontally oriented ellipse.
Since b is the distance from the center to the vertices on the minor axis and since the distance from (0, 0) to (0, 4) and to (0, -4) is 4, b = 4.
In summary we have an ellipse that...- is horizontally oriented (which means that we will use the first of the two standard forms above).
- has a center at (0, 0) which means that h = 0 and k = 0.
- has a = 6 and b = 4.
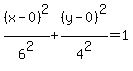
Inserting these values for h, k, a and b into the first of the standard forms we get:

This simplifies to:

The only thing left is to find the foci. The foci are found on the major axis they are a distance of c from the center. The center is (0, 0) and the major axis is horizontal. All we need now is the value of c. We get c by using the equation:

Substituting our values for a and b into this equation we can solve for c:



Since we are only interested in the positive value for c we get:

Simplifying the square root we get:



Now we have c. We can use this and the center, (0, 0), to find the coordinates of the foci. Since this is a horizontally oriented ellipse, we will add and subtract c from the x coordinate of the center:
Focus #1: (0+2sqrt(5), 0) or (2sqrt(5), 0)
Focus #2: (0-2sqrt(5), 0) or (-2sqrt(5), 0)
|
|
|
| |