SOLUTION: What is the graph of 11x-x^2-4y^2 = 2y-16? thankyou

Algebra ->  Quadratic-relations-and-conic-sections -> SOLUTION: What is the graph of 11x-x^2-4y^2 = 2y-16? thankyou      Log On


   



Question 323853: What is the graph of 11x-x^2-4y^2 = 2y-16?
thankyou

Answer by Fombitz(32388) About Me  (Show Source):
You can put this solution on YOUR website!
Complete the square in x and y.
11x-x%5E2-4y%5E2+=+2y-16
x%5E2-11x%2B4y%5E2%2B2y-16=0
%28x%5E2-11x%2B121%2F4%29%2B4%28y%5E2%2B%281%2F2%29y%2B%281%2F16%29%29-16=121%2F4%2B4%2F16
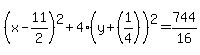
%28x-11%2F2%29%5E2%2B4%28y%2B%281%2F4%29%29%5E2=256%2F16%2B484%2F16%2B4%2F16
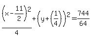
%28x-11%2F2%29%5E2%2B4%28y%2B%281%2F4%29%29%5E2=744%2F16
%28x-11%2F2%29%5E2%2F4%2B%28y%2B%281%2F4%29%29%5E2=744%2F64
It's an ellipse.