SOLUTION: I need to write the following in standard form can you help me? X^2+9y^2-4X+54Y+49=0 thank you so much

Algebra ->  Quadratic-relations-and-conic-sections -> SOLUTION: I need to write the following in standard form can you help me? X^2+9y^2-4X+54Y+49=0 thank you so much       Log On


   



Question 307600: I need to write the following in standard form can you help me?
X^2+9y^2-4X+54Y+49=0 thank you so much

Answer by Earlsdon(6294) About Me  (Show Source):
You can put this solution on YOUR website!
Write in standard form:
x%5E2%2B9y%5E2-4x%2B54y%2B49+=+0 Group like-terms together:
%28x%5E2-4x%29%2B%289y%5E2%2B54y%29%2B49+=+0 Subtract 49 from both sides.
%28x%5E2-4x%29%2B%289y2%2B54y%29+=+-49 Factor out a 9 from the second group.
%28x%5E2-4x%29%2B9%28y%5E2%2B6y%29+=+-49 Now complete the squares in x and y.
%28x%5E2-4x%2B4%29%2B9%28y%5E2%2B6y%2B9%29+=+-49%2B4%2B81 Factor the left side and simplify the right side.
%28x-2%29%5E2%2B9%28y%2B3%29%5E2+=+36 Now divide through by 36.
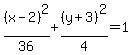
%28x-2%29%5E2%2F36+%2B+%28y%2B3%29%5E2%2F4+=+1 Rewrite as:
highlight%28%28x-2%29%5E2%2F6%5E2+%2B+%28y%2B3%29%5E2%2F2%5E2+=+1%29
You may recognize this as the equation of an ellipse, in standard form, whose major axis is parallel to the x-axis, with its center at (2, -3), its semi-major axis = 6 and its semi-minor axis = 2.
The standard form of the equation of an ellipse with its major axis parallel to the x-axis, center at (h, k), and a%5E2+%3E+b%5E2 looks like:
%28x-h%29%5E2%2Fa%5E2%2B%28y-k%29%5E2%2Fb%5E2+=+1