SOLUTION: Could you please show me how to do the following question because I got it wrong. The circle x^2 + y^2 - 2x - 3 =0 is stretched horizontally by a factor of 2 to obtain an ellispe.

Algebra ->  Quadratic-relations-and-conic-sections -> SOLUTION: Could you please show me how to do the following question because I got it wrong. The circle x^2 + y^2 - 2x - 3 =0 is stretched horizontally by a factor of 2 to obtain an ellispe.       Log On


   



Question 281498: Could you please show me how to do the following question because I got it wrong. The circle x^2 + y^2 - 2x - 3 =0 is stretched horizontally by a factor of 2 to obtain an ellispe. What is the equation of this ellipse in general form.Please help and thank you for your time.
Answer by CharlesG2(834) About Me  (Show Source):
You can put this solution on YOUR website!
Could you please show me how to do the following question because I got it wrong. The circle x^2 + y^2 - 2x - 3 =0 is stretched horizontally by a factor of 2 to obtain an ellispe. What is the equation of this ellipse in general form.Please help and thank you for your time.
putting equation into standard form of
+%28x-h%29%5E2+%2B+%28y-k%29%5E2+=+r%5E2+, where (h,k) is center of circle, and r is the radius
x^2 + y^2 - 2x - 3 = 0
x^2 - 2x + y^2 = 3
x^2 - 2x + 1 + y^2 = 4 (added 1 to both sides to complete the square)
+%28x+-+1%29%5E2+%2B+y%5E2+=+4+
or +%28x+-+1%29%5E2+%2B+%28y+-+0%29%5E2+=+4+
center is (1,0) and radius is 2
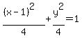
another way to write this would be:
+%28%28x+-+1%29%5E2%29%2F4+%2B+y%5E2%2F4+=+1+
+a+=+b+=+r+=+2+
now to stretch this cicle horizontally by a factor of 2 and write the equation of the ellipse
+x%5E2%2Fa%5E2+%2B+y%5E2%2Fb%5E2+=+1+, +a%3Eb+ is the equation we want for the ellipse
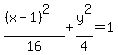
stretch horizontally by factor of 2 --> a=2 becomes a=4 --> now a^2=16
+%28%28x+-+1%29%5E2%29%2F16+%2B+y%5E2%2F4+=+1+
and that is the equation of the ellipse