SOLUTION: How would you graph this hyperbola: -(x/6)^2 -(y/6)^2 = 1?

Algebra ->  Quadratic-relations-and-conic-sections -> SOLUTION: How would you graph this hyperbola: -(x/6)^2 -(y/6)^2 = 1?       Log On


   



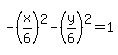
Question 243722: How would you graph this hyperbola: -(x/6)^2 -(y/6)^2 = 1?
Answer by Edwin McCravy(20056) About Me  (Show Source):
You can put this solution on YOUR website!

Sorry but

-%28x%2F6%29%5E2+-%28y%2F6%29%5E2+=+1

is not the equation of a hyperbola.  Both terms on the left
cannot be negative in the equation of a hyperbola. One of 
those terms on the left must be positive and the other 
negative.  Please correct and repost the problem, being 
very careful to get the signs right.

Edwin