SOLUTION: I am suppose to graph this conic section how do I do this equation (x+2)=4(y-1)^2

Algebra ->  Quadratic-relations-and-conic-sections -> SOLUTION: I am suppose to graph this conic section how do I do this equation (x+2)=4(y-1)^2      Log On


   



Question 242816: I am suppose to graph this conic section how do I do this equation (x+2)=4(y-1)^2
Answer by Edwin McCravy(20056) About Me  (Show Source):
You can put this solution on YOUR website!
I am suppose to graph this conic section how do I do this equation
%28x%2B2%29=4%28y-1%29%5E2

You must learn all the various forms for 
all the various conic sections, and all their
properties.

This one can be placed in standard form:

%28y-k%29%5E2=4p%28x-h%29

which is a parabola with a horizontal axis of
symmetry with vertex = (h,k),
distance from vertex to focus and directrix = |p|
which opens right if p is positive and left if p is negative.

Now we put your equation in standard form:

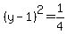
%28x%2B2%29=4%28y-1%29%5E2

Swap sides:

4%28y-1%29%5E2=x%2B2

Multiply both sides by 1%2F4

%28y-1%29%5E2=1%2F4%28x%2B2%29

Compare to the general standard form:

%28y-k%29%5E2=4p%28x-h%29

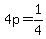
and we have k=1, 4p=1%2F4, h=-2

So the vertex is (h,k) = (-2,1) and p=1%2F16

and since p is positive the parabola opens to
the right.

So we plot the vertex (-2,1)



and the axis of symmetry is the horizontal line through the vertex,
whose equation is 

y=1

We'll draw it in blue:



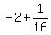
Since p=1%2F16, and since it is positive, the focus
is 1%2F16 of a unit to the right of the vertex, or the point
(-2%2B1%2F16,1) = (-31%2F16,1) = (-1%2615%2F16,1)

So we plot the focus, but unfortunately, it's so close 
to the vertex, it's hard to plot it so it doesn't run 
into the vertex.



Now we draw the directrix which is a vertical line 1%2F16 of a unit to the left of the vertex.  Its equation is 

x+=+-33%2F16 

We'll draw it in green:



Next we draw a horizontal line from the focus directly through
the vertex to the directrix. Unfortunately you can hardly see it 
because it's so short because those points are so close together:


  
Draw a square on each side of that line.  They too are unfortunately
very tiny in this problem:


 
Now we can find the y-intercepts by letting x = 0 in the
original equation and solving for y

%28x%2B2%29=4%28y-1%29%5E2
%280%2B2%29=4%28y-1%29%5E2
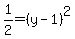
2=4%28y-1%29%5E2
1%2F2=%28y-1%29%5E2
±sqrt%281%2F2%29=y-1
1%2B-sqrt%281%2F2%29=y
This gives the y-intercepts at about (0,1.7) and (0.3)

So we plot those:



Finally we draw the parabola through the right corners of the
squares, through the vertex and through the y-intercepts:



That's it.  It's too bad the parabola you picked to plot had 
such a tiny value of p.

Edwin