SOLUTION: find the standard form of the ellipse 4x^2+y^2-8x-2y-4=0
Algebra
->
Quadratic-relations-and-conic-sections
-> SOLUTION: find the standard form of the ellipse 4x^2+y^2-8x-2y-4=0
Log On
Algebra: Conic sections - ellipse, parabola, hyperbola
Section
Solvers
Solvers
Lessons
Lessons
Answers archive
Answers
Click here to see ALL problems on Quadratic-relations-and-conic-sections
Question 191572
:
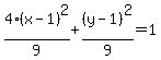
find the standard form of the ellipse 4x^2+y^2-8x-2y-4=0
Answer by
Mathtut(3670)
(
Show Source
):
You can
put this solution on YOUR website!
4x^2+y^2-8x-2y-4=0
:
:
: