SOLUTION: I am having trouble finding the vertex of parabolas. I need to find the axes, roots, and the vertices of the 3 following questions. Can you please show it to me in the completing t

Algebra ->  Quadratic-relations-and-conic-sections -> SOLUTION: I am having trouble finding the vertex of parabolas. I need to find the axes, roots, and the vertices of the 3 following questions. Can you please show it to me in the completing t      Log On


   



Question 183003: I am having trouble finding the vertex of parabolas. I need to find the axes, roots, and the vertices of the 3 following questions. Can you please show it to me in the completing the square method.
The questions are
y=2x^2-x+6
y=x^2-8x+2
y=4x^2-x+1
Thanks in advance.

Found 2 solutions by stanbon, josmiceli:
Answer by stanbon(75887) About Me  (Show Source):
You can put this solution on YOUR website!
I need to find the axes, roots, and the vertices of the 3 following questions. Can you please show it to me in the completing the square method.
The questions are
y=2x^2-x+6
2x^2 - x + ? = y-6+?
2(x^2 - (1/2)x + (1/4)^2 = y - 6 + 2(1/4)^2
2(x- (1/4))^2 = y - (48/8) + (1/8)
2(x-(1/4)^2 = y - (47/8)
(x - (1/4)^2 = (1/2)(y -(47/8))
------------------------------------
Vertex: (1/4 , (-47/8))
vertical axis: x = 1/4
Roots: No Real roots
Use Quadratic formula to find the complex roots.
-----------------------------------
y=x^2-8x+2
x^2 - 8x = y-2
x^2 - 8x + 16 = y -2 + 16
(x-4)^2 = y + 14
----------------------
Vertex: (4 , -14)
vertecal axis: x = 4
Roots: Use the quadratic formula.
---------------------------
y=4x^2-x+1
4x^2 - x = y - 1
4(x^2 - (1/4)x + (1/8)^2) = y - 1 + 4*(1/8)^2
4(x - (1/8))^2 = y - 15/16
(x-(1/8))^2 = (1/4)(y - 15/16)
----
Vertex: (1/8 , 15/16)
vertical axis: x = 1/8
Roots: Use the Quadratic formula
=====================================
Cheers,
Stan H.

Answer by josmiceli(19441) About Me  (Show Source):
You can put this solution on YOUR website!
The x-co-ordinate, x%5Bv%5D, of the vertex is exactly midway
between the roots, so if the roots are r%5B1%5D and
r%5B2%5D the vertex is at (%28r%5B1%5D+%2B+r%5B2%5D%29%2F2,y%5Bv%5D)
Another way to find the vertex is, if the equation is in
the form y+=+ax%5E2+%2B+bx+%2B+c, then x%5Bv%5D is at
%28-b%29%2F%282a%29. I'll solve both ways:
(1) 2x%5E2+-+x+%2B+6
To complete the square, take 1/2 the co-efficient of x,
square it, and add it to both sides.
First set equation equal to 0 and subtract 6
from both sides
2x%5E2+-+x+=+-6
Divide both sides by 2
x%5E2+-+%281%2F2%29%2Ax+=+-3
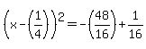
x%5E2+-%281%2F2%29%2Ax+%2B+%281%2F4%29%5E2+=+-3+%2B+%281%2F4%29%5E2
%28x+-+%281%2F4%29%29%5E2+=+-%2848%2F16%29+%2B+1%2F16
Take the square root of both sides
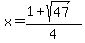
x+-+%281%2F4%29+=+sqrt%2847%29%2F4
x+=+%281%2F4%29+%2B-+sqrt%2847%29%2F4
The 2 roots are:
x+=+%281+%2B+sqrt%2847%29%29%2F4
and
x+=+%281+-+sqrt%2847%29%29%2F4
Now I find the point midway between the roots


(notice the terms with sqrt%2847%29 cancel)
x%5Bv%5D+=+1%2F4
And now the easy way:
x%5Bv%5D+=+%28-b%29%2F%282a%29
ax%5E2+%2B+bx+%2B+c+=+2x%5E2+-+x+%2B+6
a+=+2
b+=+-1
x%5Bv%5D+=+%28-%28-1%29%29%2F%282%2A2%29
x%5Bv%5D+=+1%2F4
Now just plug this into the equation to find y%5Bv%5D
y+=++2x%5E2+-+x+%2B+6
y%5Bv%5D+=+2%2A%281%2F4%29%5E2+-+%281%2F4%29+%2B+6
y%5Bv%5D+=+2%2F16+-+4%2F16+%2B+96%2F16
y%5Bv%5D+=+94%2F16
y%5Bv%5D+=+47%2F8
I'll plot it
+graph%28+500%2C+500%2C+-2%2C+2%2C+-2%2C+7%2C+2x%5E2+-+x+%2B+6%29+