|
Question 170281: Find Standard Equation Of a Hyperbola: Given, Foci: (-8,0) and (8,0) Vertices: (-6,0) and (6,0).
Answer by jim_thompson5910(35256) (Show Source):
You can put this solution on YOUR website! Take note that ALL of the points given to you (both vertices and foci) all have a y-coordinate of 0. So this tells us that the hyperbola opens left and right like this:
Take note that the distance from the center to either focus is 8 units. So let's call this distance "c" (ie )
Remember, the equation of any hyperbola opening left/right is
So we need to find the values of h, k, a, and b
Now let's find the midpoint of the line connecting the vertices. This midpoint is the center of the hyperbola
x mid: Average the x-coordinates of the vertices:
So the x-coordinate of the center is 0. This means that h = 0
-------------------
y mid: Average the y-coordinates of the vertices: 
So the y-coordinate of the center is 0. This means that k = 0
So the center is (0,0) which means that h=0 and k=0
------------------
Now because the hyperbola opens left and right, this means that the vertices are (h+a,k) and (h-a,k). In other words, you add and subtract the value of "a" to the x-coordinate of the center to get the vertices.
Since the value of "h" and "k" is 0, this means that the vertices become (0+a,0) and (0-a,0) then simplify to (a,0) and (-a,0)
So this tells us that a=6 and -a=-6 which simply means that a=6
-------------------------------------------------------------------
Now it turns out that the value of "b" is closely connected to the values of "a" and "c". They are connected by the equation
Plug in and
Square 6 to get 36. Square 8 to get 64
Subtract 36 from both sides.
Subtract
Take the square root of both sides. Note: only the positive square root is considered (since a negative distance doesn't make sense)
Simplify the square root.
==========================================================
Recap:
So we found the following: , (the x and y coordinates of the center), and
Start with the general equation for a hyperbola (one that opens left/right)
Plug in , , and
Square 6 to get 36. Square to get
Multiply
Simplify
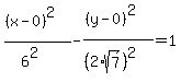
==================================================================
Answer:
So the equation of the hyperbola that has the foci (8,0) and (-8,0) along with the vertices (-6,0) and (6,0) is:

|
|
|
| |