SOLUTION: I submitted this question a couple of weeks ago, but I never received a response. Can anybody help me out? What is the equation of a parabola with vertex (0,0) and focus (0,4)?

Algebra ->  Quadratic-relations-and-conic-sections -> SOLUTION: I submitted this question a couple of weeks ago, but I never received a response. Can anybody help me out? What is the equation of a parabola with vertex (0,0) and focus (0,4)?       Log On


   



Question 166194: I submitted this question a couple of weeks ago, but I never received a response. Can anybody help me out?
What is the equation of a parabola with vertex (0,0) and focus (0,4)?
THanks alot!

Answer by Fombitz(32388) About Me  (Show Source):
You can put this solution on YOUR website!
The general equation for a parabola is,
4p%28y-k%29=%28x-h%29%5E2
where (h,k) is the vertex of the parabola and p is the distance from vertex to focus.
In your case,
(h,k)=(0,0)
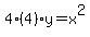
p=4
4%284%29y=x%5E2
y=x%5E2%2F16
+graph%28+300%2C+300%2C+-20%2C+20%2C+-10%2C+10%2C++x%5E2%2F16%29+