SOLUTION: Classify the conic section 5x^2 + 9y^2 = 45 A line B point C circle D parabola E ellipse F hyperbola I believe the answer is E. But I am not 100% sure, and Id love

Algebra ->  Quadratic-relations-and-conic-sections -> SOLUTION: Classify the conic section 5x^2 + 9y^2 = 45 A line B point C circle D parabola E ellipse F hyperbola I believe the answer is E. But I am not 100% sure, and Id love      Log On


   



Question 161956: Classify the conic section
5x^2 + 9y^2 = 45
A line
B point
C circle
D parabola
E ellipse
F hyperbola

I believe the answer is E. But I am not 100% sure, and Id love to know if that is correct, and if not, what is? Thank you so much for your time.

Answer by jim_thompson5910(35256) About Me  (Show Source):
You can put this solution on YOUR website!
5x%5E2+%2B+9y%5E2+=+45 Start with the given equation

5%28x-0%29%5E2+%2B+9%28y-0%29%5E2+=+45 Replace "x" with "x-0" and replace "y" with "y-0". This is valid since adding/subtracting zero doesn't change the equation.


5%28x-0%29%5E2%2F45+%2B+9%28y-0%29%5E2%2F45+=+cross%2845%2F45%29 Divide EVERY term by 45 to make the right side equal to 1.


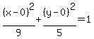
%28x-0%29%5E2%2F9+%2B+%28y-0%29%5E2%2F5+=+1 Reduce


Take note that 3%5E2=9 and %28sqrt%285%29%29%5E2=5


%28x-0%29%5E2%2F%283%5E2%29+%2B+%28y-0%29%5E2%2F%28sqrt%285%29%29%5E2+=+1 Replace "9" with 3%5E2. Replace "5" with %28sqrt%285%29%29%5E2


Remember, the equation of any ellipse is %28x-h%29%5E2%2Fa%5E2%2B%28y-k%29%5E2%2Fb%5E2=1.

Since the equation fits this format where h=0, a=3, k=0, and b=sqrt%285%29, this shows us that the equation 5x%5E2+%2B+9y%5E2+=+45 is an ellipse.

So you are correct. Once again you can use a graph to verify your answer.