SOLUTION: Describe the procedure used to write the standard equation of the ellipse defined by {{{ 9x^2+4y^2+18x-40y+73=0 }}}

Algebra ->  Quadratic-relations-and-conic-sections -> SOLUTION: Describe the procedure used to write the standard equation of the ellipse defined by {{{ 9x^2+4y^2+18x-40y+73=0 }}}      Log On


   



Question 141988: Describe the procedure used to write the standard equation of the ellipse defined by +9x%5E2%2B4y%5E2%2B18x-40y%2B73=0+
Answer by jim_thompson5910(35256) About Me  (Show Source):
You can put this solution on YOUR website!
9x%5E2%2B4y%5E2%2B18x-40y%2B73=0 Start with the given equation


9x%5E2%2B18x%2B4y%5E2-40y%2B73=0 Rearrange the terms


9x%5E2%2B18x%2B4y%5E2-40y=-73 Subtract 73 from both sides


9%28x%2B1%29%5E2-9%2B4y%5E2-40y=-73 Complete the square for the x terms


9%28x%2B1%29%5E2-9%2B4%28y-5%29%5E2-100=-73 Complete the square for the y terms


9%28x%2B1%29%5E2%2B4%28y-5%29%5E2-109=-73 Combine like terms


9%28x%2B1%29%5E2%2B4%28y-5%29%5E2=-73%2B109 Add 109 to both sides


9%28x%2B1%29%5E2%2B4%28y-5%29%5E2=36 Combine like terms



-----------



%289%28x%2B1%29%5E2%2B4%28y-5%29%5E2%29%2F%2836%29=%2836%29%2F%2836%29Now divide both sides by 36 to make the right side equal to 1


%289%28x%2B1%29%5E2%29%2F%2836%29%2B%284%28y-5%29%5E2%29%2F%2836%29=1 Break up the fraction


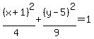
%28x%2B1%29%5E2%2F%284%29%2B%28y-5%29%5E2%2F%289%29=1 Reduce


So the equation is now in the standard form of an ellipse %28x-h%29%5E2%2F%28a%5E2%29%2B%28y-k%29%5E2%2F%28b%5E2%29=1 where h=-1, k=5, a=2, and b=3