SOLUTION: write an equation of the conic section with the given characteristics- elipse with center (-4,-5),endpoints of major and minor axes (-4,-7) (-4,-3) (-1,-5) (-7,-5)

Algebra ->  Quadratic-relations-and-conic-sections -> SOLUTION: write an equation of the conic section with the given characteristics- elipse with center (-4,-5),endpoints of major and minor axes (-4,-7) (-4,-3) (-1,-5) (-7,-5)      Log On


   



Question 134077This question is from textbook Prentice Hall Mathematics Algebra 2
: write an equation of the conic section with the given characteristics- elipse with center (-4,-5),endpoints of major and minor axes (-4,-7) (-4,-3) (-1,-5) (-7,-5) This question is from textbook Prentice Hall Mathematics Algebra 2

Answer by solver91311(24713) About Me  (Show Source):
You can put this solution on YOUR website!
The equation of an ellipse with center at (h,k) and major axis length 2a, minor axis length 2b is:

%28x-h%29%5E2%2Fa%5E2%2B%28y-k%29%5E2%2Fb%5E2=1

Your ellipse: h=-4, k=-5

Length of major axis: -1-%28-7%29=6 => a=3

Length of minor axis: -3-%28-7%29=4 => b=2

Therefore, the desired equation is:

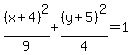
%28x-%28-4%29%29%5E2%2F3%5E2%2B%28y-%28-5%29%29%5E2%2F2%5E2=1

%28x%2B4%29%5E2%2F9%2B%28y%2B5%29%5E2%2F4=1