SOLUTION: 6. A circle of radius 5 has its center on the line 3x – 2y + 6 = 0 and the circle is tangent to the y axis. Find its equation. (There are two solutions.)

Algebra ->  Quadratic-relations-and-conic-sections -> SOLUTION: 6. A circle of radius 5 has its center on the line 3x – 2y + 6 = 0 and the circle is tangent to the y axis. Find its equation. (There are two solutions.)       Log On


   



Question 129347: 6. A circle of radius 5 has its center on the line 3x – 2y + 6 = 0 and the circle is tangent to the y axis. Find its equation. (There are two solutions.)
Answer by jim_thompson5910(35256) About Me  (Show Source):
You can put this solution on YOUR website!
3x-2y%2B6=0 Start with the given equation


-2y%2B6=-3x Subtract 3x from both sides


-2y=-3x-6 Subtract 6 from both sides


y=%28-3x-6%29%2F%28-2%29 Divide both sides by -2 to isolate y


y=%28-3x%29%2F%28-2%29-%286%29%2F%28-2%29 Break up the fraction


y=%283%2F2%29x%2B3 Reduce


Since the circle is tangent to the y-axis and the radius is 5 units, this means that the center must be either at x=-5 or x=5 (since at these x-values, the distance from the y-axis to those points is 5 units)



So let's find the circle at the x value x=-5



y=%283%2F2%29x%2B3 Start with the given equation


y=%283%2F2%29%28-5%29%2B3 Plug in x=-5


y=-15%2F2%2B3 Multiply


y=-9%2F2 Combine like terms


So the center of the first circle is


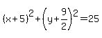
So this means that the equation of the first circle is

%28x%2B5%29%5E2%2B%28y%2B9%2F2%29%5E2=25



----------------------------------------------------



So let's find the circle at the x value x=5



y=%283%2F2%29x%2B3 Start with the given equation


y=%283%2F2%29%285%29%2B3 Plug in x=5


y=15%2F2%2B3 Multiply


y=21%2F2 Combine like terms


So the center of the second circle is


So this means that the equation of the second circle is

%28x-5%29%5E2%2B%28y-21%2F2%29%5E2=25