SOLUTION: Write the equation for the ellipse in standard form and general form. foci at (-1,-1) and (9,-1), sum of focal radii 26

Algebra ->  Quadratic-relations-and-conic-sections -> SOLUTION: Write the equation for the ellipse in standard form and general form. foci at (-1,-1) and (9,-1), sum of focal radii 26      Log On


   



Question 1204640: Write the equation for the ellipse in standard form and general form.
foci at (-1,-1) and (9,-1), sum of focal radii 26

Found 2 solutions by ikleyn, MathLover1:
Answer by ikleyn(52800) About Me  (Show Source):
You can put this solution on YOUR website!
.
Write the equation for the ellipse in standard form and general form.
foci at (-1,-1) and (9,-1), sum of focal radii 26
~~~~~~~~~~~~~~~~~~~~~~~~

From given information about the foci coordinates, you can see that the 
distance between the foci points is 9 - (-1) = 10.


So, the half of this distance is 10/2 = 5 units.


This distance is the eccentricity, which has the standard designation "c".

So, c = 5 units.



Next, since the sum of focal radii is 26, it means that the distance from 
any focus of the ellipse to its any co-vertex is 26/2 = 13.


Thus we have a right angled triangle with one leg of 5 units and the hypotenuse of 13 units.

So, the other leg is  sqrt%2813%5E2-5%5E2%29 = sqrt%28169-25%29 = sqrt%28144%29 = 12 units.

Thus we found the minor semiaxis of the ellipse: it is 12 units.

The standard designation for the minor semi-axis of an ellipse is "b".

So, for our ellipse b = 12 units.


Finally, if "a" is the major semi-axis, then we have

    c%5E2 = a%5E2 - b%5E2,

or

    5%5E2 = a%5E2 - 12%5E2,

    a%5E2 = 25 + 144 = 169

which implies

    a = sqrt%28169%29 = 13.


Thus the major semi-axis is 13 units long.


Now the standard form of this ellipse equation is

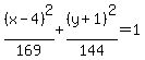
    %28x-4%29%5E2%2F13%5E2 + %28y%2B1%29%5E2%2F12%5E2 = 1.


It is because the center of the ellipse is at the point (4,-1).

Solved.

After that, to find the general equation is simple arithmetic.

---------------------

For basic info about ellipses, see the lesson
    - Ellipse definition, canonical equation, characteristic points and elements
in this site.



Answer by MathLover1(20850) About Me  (Show Source):
You can put this solution on YOUR website!
%28x-h%29%5E2%2Fa%5E2%2B%28y-k%29%5E2%2Fb%5E2=1
given:
foci at
(-1,-1)=(h-c,k)
h-c=-1
h=c-1...eq.1
and
(9,-1)=(h%2Bc,k)
h%2Bc=9
h=9-c....eq.2
from eq.1 and eq.2 we have
9-c=c-1
10=2c
c=5

center is half way between foci
(%28-1%2B9%29%2F2,%28-1-1%29%2F2)=(h,k)
(h,k) =(4,-1)
sum of focal radii 26 => focal radii refers to the distance from the center to the focus
so, 2a=26 => a=13

b%5E2=a%5E2-c%5E2
b%5E2=13%5E2-5%5E2
b%5E2=144
b=12

equation is:

%28x-4%29%5E2%2F13%5E2%2B%28y-%28-1%29%29%5E2%2F12%5E2=1
%28x-4%29%5E2%2F169%2B%28y%2B1%29%5E2%2F144=1