SOLUTION: Identify the co-vertices of the ellipse (x-3)^2 + {(y-5)^2/9} = 1

Algebra ->  Quadratic-relations-and-conic-sections -> SOLUTION: Identify the co-vertices of the ellipse (x-3)^2 + {(y-5)^2/9} = 1      Log On


   



Question 1204148: Identify the co-vertices of the ellipse (x-3)^2 + {(y-5)^2/9} = 1
Answer by Edwin McCravy(20060) About Me  (Show Source):
You can put this solution on YOUR website!

%28x-3%29%5E2+%2B+%28y-5%29%5E2%2F9%5E%22%22+=+1

Learn to compare every ellipse equation with

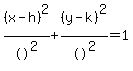
%28x-h%29%5E2%2F%22%28+%29%22%5E2+%2B+%28y-k%29%5E2%2F%22%28+%29%22%5E2=1

If the larger denominator is under the x-term, then the ellipse looks like this  drawing%2820%2C10%2C-2%2C2%2C-1%2C1%2Carc%280%2C0%2C-3.9%2C1.9%29+%29

If the larger denominator is under the y-term, then the ellipse looks like this  drawing%2810%2C20%2C-1%2C1%2C-2%2C2%2Carc%280%2C0%2C1.9%2C-3.9%29+%29

Put a 1 under your first term:

%28x-3%29%5E2%2F1%5E%22%22+%2B+%28y-5%29%5E2%2F9%5E%22%22+=+1

So since the y-term has the larger denominator, you know it looks like this: drawing%2810%2C20%2C-1%2C1%2C-2%2C2%2Carc%280%2C0%2C1.9%2C-3.9%29+%29

Write the denominators as squares:

%28x-3%29%5E2%2F1%5E2+%2B+%28y-5%29%5E2%2F3%5E2+=+1

The center is always the point (h,k).  'a' is always half of the major axis
and 'b' is always half of the minor axis.  So your ellipse is of the form

%28x-h%29%5E2%2Fb%5E2+%2B+%28y-k%29%5E2%2Fa%5E2+=+1

'a' is always the square root of the larger denominator and 'b' is always the
square of the smaller denominator. Again, your ellipse is of the form

%28x-h%29%5E2%2Fb%5E2+%2B+%28y-k%29%5E2%2Fa%5E2+=+1 compared to %28x-3%29%5E2%2F1%5E2+%2B+%28y-5%29%5E2%2F3%5E2+=+1

The center is (h,k) = (3,5), a=3, b=1

So draw the center (3,5), the major axis goes up and down,

so draw in the major axis up 3 and down 3 from the center (3,5).

Then, draw in the minor axis left 1 and right 1 from the center (3,5). 



Then draw in the ellipse:



Now you can look at the graph and see that the vertices are
at the ends of the major axis, (3,2) and (3,8), and that the
co-vertices are at the ends of the minor axis (2,5) and (4,5)

Edwin