Question 1201708: find an equation of the ellipse that has a center (2,5), a major axis of length 12, and endpoint of minor axis (2,3)
Answer by greenestamps(13200) (Show Source):
You can put this solution on YOUR website!
Center (2,5) and one end of minor axis (2,3) means the minor axis is vertical, so the general equation is

The center is (h,k); a is the semi-major axis; b is the semi-minor axis.
The center (h,k) is given.
The length of the major axis is 12, so a = 6.
The length of the semi-minor axis, b, is the distance from (2,5) to (2,3), which is 2.
So

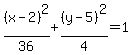
ANSWER: 
|
|
|