SOLUTION: Find the latus rectum in the equation 16x²+25y²+160x+200y+400=0

Algebra ->  Quadratic-relations-and-conic-sections -> SOLUTION: Find the latus rectum in the equation 16x²+25y²+160x+200y+400=0      Log On


   



Question 1197354: Find the latus rectum in the equation
16x²+25y²+160x+200y+400=0

Answer by MathLover1(20855) About Me  (Show Source):
You can put this solution on YOUR website!

Latus rectum of ellipse is a straight line passing through the foci of ellipse and perpendicular to the major axis of ellipse. Latus rectum is the focal chord, which is parallel to the directrix of the ellipse. The ellipse has two foci and hence it has two latus rectums.
Each of the latus rectum cuts the ellipse at two distinct points.
The length of latus rectum of ellipse x%5E2%2Fa%5E2+%2B+y%5E2%2Fb%5E2=+1, is 2b%5E2%2Fa.

given:
16x%5E2%2B25y%5E2%2B160x%2B200y%2B400=0.............write in standard form
%2816x%5E2%2B160x%29%2B%2825y%5E2%2B200y%29%2B400=0........complete squares
16%28x%5E2%2B10x%2Bb%5E2%29-16b%5E2%2B25%28y%5E2%2B8y%2Bb%5E2%29-25b%5E2%2B400=0
16%28x%5E2%2B10x%2B5%5E2%29-16%2A5%5E2%2B25%28y%5E2%2B8y%2B4%5E2%29-25%2A4%5E2%2B400=0
16%28x%2B5%29%5E2-400%2B25%28y%2B4%29%5E2-400%2B400=0..........simplify
16%28x%2B5%29%5E2-400%2B25%28y%2B4%29%5E2=0
16%28x%2B5%29%5E2%2B25%28y%2B4%29%5E2=400............divide by +400
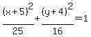
16%28x%2B5%29%5E2%2F400%2B25%28y%2B4%29%5E2%2F400=400%2F400
%28x%2B5%29%5E2%2F25%2B%28y%2B4%29%5E2%2F16=1
=> a%5E2=25+and b%5E2=16=> a=5+and b=4

The length of latus rectum of ellipse is
2b%5E2%2Fa+=%282%2A16%29%2F5=32%2F5=6.4