SOLUTION: Find the equation (hyperbola) foci at ( - 3, 1) and (7, 1) and length of the transverse axis is 4 units.

Algebra ->  Quadratic-relations-and-conic-sections -> SOLUTION: Find the equation (hyperbola) foci at ( - 3, 1) and (7, 1) and length of the transverse axis is 4 units.      Log On


   



Question 1197335: Find the equation (hyperbola)
foci at ( - 3, 1) and (7,
1) and length of the
transverse axis is 4
units.

Answer by MathLover1(20850) About Me  (Show Source):
You can put this solution on YOUR website!

the given data:
foci at: (-3, 1) and (7,1)
the center is half way between foci, so
C(%28-3%2B7%29%2F2,%281%2B1%29%2F2)=(2,1)
=>h=2 and k+=+1
transverse axis is 4: the transverse axis of a hyperbola is along the x-axis and its length is+2a, so
2a=4
a=2
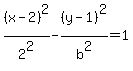
The equation of a hyperbola so far is:
%28x-2%29%5E2%2F2%5E2-%28y-1%29%5E2%2Fb%5E2=1
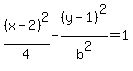
%28x-2%29%5E2%2F4-%28y-1%29%5E2%2Fb%5E2=1

The following equation take into account different properties of a hyperbola:
%28h%2B3%29%5E2=a%5E2%2Bb%5E2
%282%2B3%29%5E2=2%5E2%2Bb%5E2
+25=4%2Bb%5E2
+25-4=b%5E2
b%5E2=+21

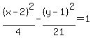
and your equation is:

%28x-2%29%5E2%2F4-%28y-1%29%5E2%2F21=1