SOLUTION: Find the x-intercept of the parabola with vertex (4,75) and y-intercept (0,27) write your answer in this form:(x1,y1),(x2,y2)

Algebra ->  Quadratic-relations-and-conic-sections -> SOLUTION: Find the x-intercept of the parabola with vertex (4,75) and y-intercept (0,27) write your answer in this form:(x1,y1),(x2,y2)       Log On


   



Question 1182286: Find the x-intercept of the parabola with vertex (4,75) and y-intercept (0,27) write your answer in this form:(x1,y1),(x2,y2)

Answer by MathLover1(20850) About Me  (Show Source):
You can put this solution on YOUR website!
given:
vertex (4,75) =>h=4,k=75
y-intercept (0,27) =>c=27
use vertex form of parabola:
y-k=a%28x-h%29%5E2%2Bc..........substitute given
y-k=a%28x-h%29%5E2%2Bk
y=a%28x-4%29%5E2%2B75....use given intercept to calculate a
27=a%280-4%29%5E2%2B75
27=16a%2B75
27-75=16a
-48=16a
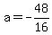
a=-48%2F16
a=-3
equation is:
y=-3%28x-4%29%5E2%2B75
the x-intercept is at (x,0)=>y=0
0=-3%28x-4%29%5E2%2B75
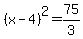
3%28x-4%29%5E2=75
%28x-4%29%5E2=75%2F3
%28x-4%29%5E2=25
x-4=sqrt%2825%29
x-4=5 or x-4=-5
x=5%2B4 or x=-5%2B4
x=9 or x=-1
the x-intercepts are a:
(9,0),(-1,0)