SOLUTION: convert the general equation 16x2+25y2-160x-200y+400=0 to standard form
Algebra
->
Quadratic-relations-and-conic-sections
-> SOLUTION: convert the general equation 16x2+25y2-160x-200y+400=0 to standard form
Log On
Algebra: Conic sections - ellipse, parabola, hyperbola
Section
Solvers
Solvers
Lessons
Lessons
Answers archive
Answers
Click here to see ALL problems on Quadratic-relations-and-conic-sections
Question 1180973
:
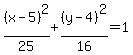
convert the general equation 16x2+25y2-160x-200y+400=0 to standard form
Answer by
MathLover1(20850)
(
Show Source
):
You can
put this solution on YOUR website!
to convert the general equation to standard form, complete squares
...for
part
, and for
part
.........both sides divide by