SOLUTION: The ellipse defined by the equation 2x^2+ y^2 + 4x − 9y = 7. Major axis parallel to: x-axis or y-axis? Graph: Center of the Ellipse: Vertices of the Ellipse: Foci

Algebra ->  Quadratic-relations-and-conic-sections -> SOLUTION: The ellipse defined by the equation 2x^2+ y^2 + 4x − 9y = 7. Major axis parallel to: x-axis or y-axis? Graph: Center of the Ellipse: Vertices of the Ellipse: Foci      Log On


   



Question 1172209: The ellipse defined by the equation 2x^2+ y^2 + 4x − 9y = 7.
Major axis parallel to:
x-axis or y-axis?
Graph:
Center of the Ellipse:
Vertices of the Ellipse:
Foci of the Ellipse:
Ends of the Latera Recta:

Answer by Edwin McCravy(20059) About Me  (Show Source):
You can put this solution on YOUR website!
Major axis is parallel to the y-axis.

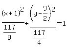
Standard equation:

%28x%2B1%29%5E2%2F%28117%2F8%29%2B%28y-9%2F2%29%5E2%2F%28117%2F4%29=1

Graph: 



Center: %28matrix%281%2C3%2C-1%2C%22%2C%22%2C9%2F2%29%29

Vertices: %28matrix%281%2C3%2C-1%2C%22%2C%22%2C%283%283+%2B-+sqrt%2813%29%29%29%2F2%29+%29++

Foci: %28matrix%281%2C3%2C-1%2C%22%2C%22%2C%283%286+%2B-+sqrt%2826%29%29%29%2F4%29+%29++

Ends of the upper Latus Rectum: 

Ends of the upper Latus Rectum:  

Edwin